Tu as peut-ĂȘtre vu la loi de Poisson en cours, mais tu nây comprends pas grand-chose ? Tu tâintĂ©resses aux probas, mais tu nâas jamais entendu parler de cette loi ? Bouge pas ! On tâa prĂ©parĂ© une fiche de maths pour tâaider Ă la connaitre, Ă la comprendre et mĂȘme Ă lâutiliser. Tu es prĂȘt ? Câest parti đ

La loi de Poisson, câest quoi ? đ
Histoire de la loi de Poisson đ
DâoĂč vient la loi de Poisson ? Pourquoi sâappelle-t-elle comme ça ? Eh bien, elle a tout simplement pris le nom de famille du mathĂ©maticien qui lâa thĂ©orisĂ©e. Rien Ă voir avec la pĂȘche donc. đ SimĂ©on Denis Poisson a introduit la loi de Poisson en 1838 dans son ouvrage Recherches sur la probabilitĂ© des jugements en matiĂšre criminelle et en matiĂšre civile.
La vie nâest bonne quâĂ deux choses : dĂ©couvrir les mathĂ©matiques et enseigner les mathĂ©matiques.
Siméon Denis Poisson
mathématicien
đĄ Le savais-tu ?
SimĂ©on Denis Poisson a publiĂ© de nombreux travaux, prĂšs de 400 dans les domaines de mathĂ©matiques appliquĂ©es et la physique ! Sa publication sur la loi qui porte son nom nâa pas fait grand bruit Ă son Ă©poque, mais a eu une grande influence par la suite. La preuve, on en parle encore aujourdâhui !
DĂ©finition đ§
Maintenant que tu sais dâoĂč vient la loi de Poisson, on va tâexpliquer ce quâest cette loi et Ă quoi elle sert. Oui, câest bien beau de la dĂ©finir, mais si on ne sait pas quand lâutiliser, ça ne sert Ă rien.
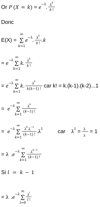
Une variable aléatoire discrÚte qui suit une loi de Poisson de paramÚtre lambda est définie par la formule suivante :
Donc, à chaque fois que X va prendre la valeur k alors sa probabilité sera égale à :
est un nombre réel strictement positif
(c’est la base de la fonction exponentielle)
(factorielle de k)
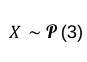
On note que X suit une loi de Poisson de paramĂštre lambda :

đ§ Discret VS continu
đ Une loi de probabilitĂ© est discrĂšte quand lâexpĂ©rience alĂ©atoire ne peut prendre quâun nombre limitĂ© de valeurs.
đ Une loi de probabilitĂ© est continue quand lâexpĂ©rience alĂ©atoire peut prendre nâimporte quelle valeur dans un intervalle dĂ©fini.
Mais concrĂštement, on lâutilise pour quoi ? En statistique, la loi de Poisson est la loi des Ă©vĂšnements rares, des petites probas. Eh non, on ne parle pas de la proba que ton crush tâinvite Ă boire un verre ce week-end. On lâutilise pour modĂ©liser des expĂ©riences de comptage en remplissant quelques conditions :
â Il faut que ça soit trĂšs rare dâavoir 2 succĂšs en mĂȘme temps.
â Le nombre moyen de succĂšs pendant un temps t ne dĂ©pend que de sa durĂ©e.
â LâarrivĂ©e dâun succĂšs est indĂ©pendant du prĂ©cĂ©dent.
Voici quelques exemples dâĂ©vĂšnements oĂč on peut utiliser la loi de Poisson pour calculer la probabilitĂ© quâils arrivent :
đ Nombre de vĂ©hicules qui passent un poste de pĂ©age en pĂ©riode creuse, durant 1 heure.
đ Nombre de personnes arrivant dans une file dâattente entre 15h et 15h30.
đ Nombre de taxis passant Ă un endroit donnĂ© durant un intervalle de temps.
â ïž Pas la mĂȘme chose pour les bus et les trains !
Les bus et les trains passent Ă des horaires fixes. Le futur dĂ©pend donc du passĂ©, car câest fixĂ© par lâheure de dĂ©part. đ
Pour trouver les approximations, tu peux utiliser la table de la loi de Poisson. Il te suffit juste de regarder le paramĂštre lambda et la valeur que tu cherches.
đ Exemple

Quelle est la probabilité que X = 2 ?
Tu peux utiliser la formule :
Mais si tu ne veux pas trop de fouler, tu peux lire directement dans la table loi de Poisson et tu trouves 0,224. Comme par hasard !


đĄ Le savais-tu ?
Tu peux créer ta propre table de la loi de Poisson sur excel !
Voici la formule :
=LOI.POISSON.N(x;espérance;cumulative)
x : tu entres la valeur que tu veux trouver (notre k)
espĂ©rance : c’est le lambda λ
cumulative : tu tapes 0
Ă lire aussi
â DĂ©couvre nos conseils pour progresser en maths en prĂ©pa !
EspĂ©rance et variance đ€
Son espĂ©rance et sa variance sont les mĂȘmes ! Ce sont les caractĂ©ristiques de cette loi. On va te le dĂ©montrer. Mais avant, on va revoir ce que sont l’espĂ©rance et la variance en mathĂ©matiques.
đĄ Rappel
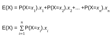
đ LâespĂ©rance de X, notĂ©e E(X), est la moyenne des valeurs possibles de X pondĂ©rĂ©e par les probabilitĂ©s que ces valeurs arrivent.
đ La variance de X, notĂ©e V(X), est lâĂ©cart moyen entre chaque valeur et la moyenne. En gros, ça permet de voir si les diffĂ©rentes valeurs sont plus ou moins dispersĂ©es.
Plus la variance sera élevée, plus les valeurs seront dispersées par rapport à la moyenne.
Maintenant que tu as revu ce que sont lâespĂ©rance et la variance, on peut te dĂ©montrer quâelles sont Ă©gales pour la loi de Poisson !
Pour la loi de Poisson, on va noter la formule de lâespĂ©rance comme ça :

On calcule bien la moyenne des valeurs possibles de X (représentée par k) pondérée par la probabilité que ça soit k.

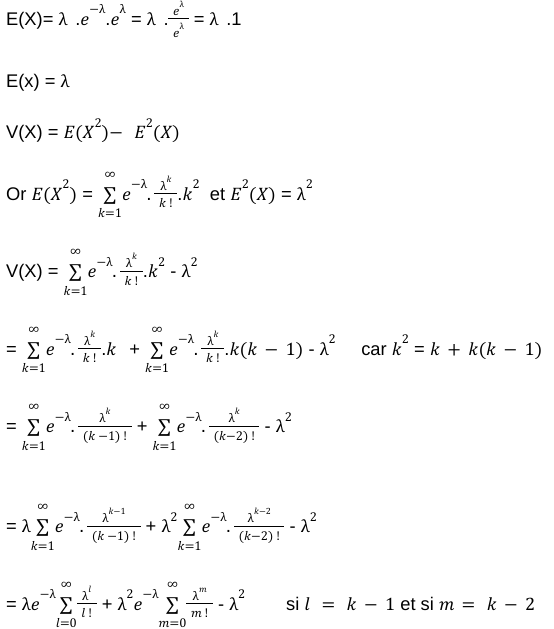
đĄ Rappel sur la fonction exponentielle
Le développement en série entiÚre de exp (x) :
est le développement de la série entiÚre de
On a donc

et
sont les développements de la série entiÚre de

V(X) =
Câest fini đ„Č Donc, tout ça pour te montrer que lâespĂ©rance et la variance sont Ă©gales Ă lambda !
Ton premier cours particulier est offert ! đ
Nos profs sont passés par les meilleures écoles et universités.
Approximation de la loi binomiale par la loi de Poisson đ€
Avant de faire lâapproximation de la loi binomiale par la loi de Poisson, on va dĂ©finir la loi binomiale. Oui, on sait que si tu es lĂ , c’est que tu lâas dĂ©jĂ vue. Mais ça ne fait pas de mal, hein ?
La loi binomiale, de paramĂštres n et p, est la loi de probabilitĂ© d’une variable alĂ©atoire X Ă©gale au nombre de succĂšs rencontrĂ©s au cours d’une rĂ©pĂ©tition de n Ă©preuves de Bernoulli, p Ă©tant la probabilitĂ© de succĂšs dans chacune d’entre elles.
On note :

đĄ Rappel sur Bernoulli
Soit une Ă©preuve de Bernoulli de paramĂštre p et X une variable alĂ©atoire discrĂšte qui vaut 1 si lâĂ©preuve donne un succĂšs et 0 si elle donne un Ă©chec.
P(X= 1) = p et P(X=0) = 1- p, avec 0 †p †1
Donc la loi binomiale est une loi de Bernoulli, mais avec plusieurs épreuves qui ne dépendent pas les unes des autres.
Contrairement Ă la loi de Poisson qui a un paramĂštre lambda, les lois de Bernoulli et Binomiale ont deux paramĂštres.
Mais du coup, quel rapport entre la loi binomiale et celle de Poisson ? Eh bien, sous certaines conditions, une loi binomiale se rapproche dâune loi de Poisson. Les voici đ
â n â„ 30 : le nombre dâexpĂ©riences assez grand
â p †0,1 : la proba dâavoir un succĂšs assez petite
â np < 15 : lâespĂ©rance dâavoir un succĂšs assez petite

Mais pourquoi ? Quand on y pense, ça paraĂźt assez logique. Si les Ă©preuves sont nombreuses et indĂ©pendantes, et quâil y a peu de probabilitĂ©s pour avoir un succĂšs, câest que câest un phĂ©nomĂšne rare ! Donc, on peut utiliser la loi de Poisson !

Approximation de la loi de Poisson par la loi normale đ€š
On a vu quâon peut rapprocher une loi Binomiale par une loi de Poisson. Maintenant, on va voir sous quelles conditions une loi de Poisson sâapproxime par une loi normale.
đĄ Rappel sur la loi normale
La loi normale est une reprĂ©sentation de donnĂ©es selon laquelle la plupart des valeurs sont regroupĂ©es autour de la moyenne et les autres s’en Ă©cartent symĂ©triquement des deux cĂŽtĂ©s.
 đExemple
La taille des humains suit une loi Normale. La plupart des personnes sont de taille moyenne. Mais plus elles sont grandes ou petites, moins elles seront nombreuses.
Une loi de Poisson sâapproxime par une loi Normale quand λ > 18
Mais pourquoi ? Tout simplement parce que la table de la loi de Poisson sâarrĂȘte à λ = 18. Eh oui, il fallait bien lâarrĂȘter Ă un moment. Dans la table, tu peux voir que plus lambda est grand, plus la probabilitĂ© dâavoir un Ă©vĂšnement diminue. DâoĂč cette approximation par la loi Normale.
Du coup, si λ > 18 :

Ă lire aussi
â DĂ©couvre notre fiche de cours sur les suites arithmĂ©tique et gĂ©omĂ©trique !
Besoin d’un prof particulier ? âš
Nos profs sont lĂ pour t’aider Ă progresser !
Exercices đ
On espÚre que tu as bien compris la théorie. Maintenant place à la pratique !

Exercice 1
Dans un parking, le nombre moyen dâarrivĂ©es de vĂ©hicules est de 120 par heure.
Calcule la probabilitĂ© pour quâil y ait 3 vĂ©hicules qui arrivent durant 4 minutes.
Exercice 2
Dans une entreprise, il y a X accidents de travail par an. X est une variable aléatoire discrÚte qui suit une loi de Poisson de paramÚtre 2.
- Calcule la probabilitĂ© quâil n’y ait aucun accident pendant lâannĂ©e.
- Calcule la probabilitĂ© quâil y ait au moins 3 accidents pendant lâannĂ©e.
- Calcule la probabilitĂ© quâil y ait moins de 3 accidents pendant lâannĂ©e.
Corrections â
Correction exercice 1
Soit X, la variable aléatoire discrÚte qui représente le nombre de véhicules qui passent le péage dans un intervalle de temps t.

Il te faut déterminer le paramÚtre lambda :
đ€ Pourquoi λ = 8 et non 120 ?
On a la moyenne sur une heure qui est de 120. Or, on veut calculer la probabilitĂ© sur 4 minutes. Tu dois prendre en compte lâintervalle de temps. Sinon câest comme si tu calculais la probabilitĂ© dâavoir 3 vĂ©hicules dans lâheure.

Le calcul :
đĄ IdĂ©e
Va directement dans la table de la loi de Poisson !
La probabilité que 3 véhicules entrent dans le parking en 4 minutes est de 2,86 %
Correction exercice 2
Tu sais dĂ©jĂ , dâaprĂšs lâĂ©noncĂ©, que X suit une loi de Poisson de paramĂštre lambda = 2

1. Calcul de la proba quâil n’y ait aucun accident pendant lâannĂ©e :
đ On a 13,53 % de chance quâil n’y ait aucun accident pendant lâannĂ©e.
2. Calcul de la proba quâil y ait au moins 3 accidents pendant lâannĂ©e :
đ On a 32,33 % de chance quâil y ait au moins 3 accidents pendant lâannĂ©e.
3. Calcul de la proba quâil y ait moins de 3 accidents pendant lâannĂ©e :
đ On a 67,67 % de chance quâil y ait moins de 3 accidents pendant lâannĂ©e.

Besoin de cours particuliers ? âš
4 points de plus sur ta moyenne avec nos profs Sherpas ! đ
Quizâ
On te donne une situation et tu nous dis si on peut utiliser la loi de Poisson !
Et voilĂ , tu sais tout de la loi de PoissonâŻ! đ€ On espĂšre que cette fiche de cours tâa bien aidĂ©. Dis nous en commentaire si tu veux en savoir plus sur dâautres lois de probabilitĂ© ou sur un chapitre en mathĂ©matiques.



TrĂšs bon cours
Merci beaucoup !
Content que le cours sur la loi de Poisson tâait Ă©tĂ© utile.
Bon courage pour la suite en maths đ
Bonjour
Juste vous remercier